문제
어떤 나라에는 1번부터 N번까지의 도시와 M개의 단방향 도로가 존재한다. 모든 도로의 거리는 1이다.
이 때 특정한 도시 X로부터 출발하여 도달할 수 있는 모든 도시 중에서, 최단 거리가 정확히 K인 모든 도시들의 번호를 출력하는 프로그램을 작성하시오. 또한 출발 도시 X에서 출발 도시 X로 가는 최단 거리는 항상 0이라고 가정한다.
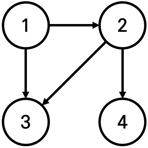
예를 들어 N=4, K=2, X=1일 때 다음과 같이 그래프가 구성되어 있다고 가정하자.

이 때 1번 도시에서 출발하여 도달할 수 있는 도시 중에서, 최단 거리가 2인 도시는 4번 도시 뿐이다. 2번과 3번 도시의 경우, 최단 거리가 1이기 때문에 출력하지 않는다.
입력
첫째 줄에 도시의 개수 N, 도로의 개수 M, 거리 정보 K, 출발 도시의 번호 X가 주어진다. (2 ≤ N ≤ 300,000, 1 ≤ M ≤ 1,000,000, 1 ≤ K ≤ 300,000, 1 ≤ X ≤ N) 둘째 줄부터 M개의 줄에 걸쳐서 두 개의 자연수 A, B가 공백을 기준으로 구분되어 주어진다. 이는 A번 도시에서 B번 도시로 이동하는 단방향 도로가 존재한다는 의미다. (1 ≤ A, B ≤ N) 단, A와 B는 서로 다른 자연수이다.
출력
X로부터 출발하여 도달할 수 있는 도시 중에서, 최단 거리가 K인 모든 도시의 번호를 한 줄에 하나씩 오름차순으로 출력한다.
이 때 도달할 수 있는 도시 중에서, 최단 거리가 K인 도시가 하나도 존재하지 않으면 -1을 출력한다.
약간의 BFS인데 다익스트라의 거리 리스트기법이 필요한 문제이다.
너무도 쉽게 구현을 했으나. distance를 white루프마다 1씩 증가시켜주는 오류를 범해서 계속 틀리고 말았다.
distance값을 주는것을 현재도시의 거리값 + 1 로 수정해주었더니 정상값이 나왔다.
import sys
from collections import deque
import bisect
input = sys.stdin.readline
n, m, k, x = map(int, input().rstrip().split(" "))
graph = dict()
for i in range(1, n+1):
graph[i] = []
for _ in range(m):
start, end = map(int, input().rstrip().split(" "))
graph[start].append(end)
visited = [-1]*(n+1)
curr = x
q = deque()
q.append(curr)
distance = 1
visited[curr] = 0
answer = []
while(len(q) != 0):
curr = q.popleft()
if(visited[curr] == k):
break
# print(curr)
for dest in graph[curr]:
if(visited[dest] == -1):
q.append(dest)
visited[dest] = visited[curr]+1
if(visited[curr]+1 == k):
bisect.insort(answer, dest)
if(len(answer) != 0):
for i in answer:
print(i)
else:
print(-1)
'개발 > 알고리즘' 카테고리의 다른 글
| [BOJ] 17141 연구소2 파이썬 (0) | 2020.10.21 |
|---|---|
| [BOJ] 치킨배달 파이썬 (0) | 2020.10.20 |
| [BOJ] 3190 뱀 (0) | 2020.10.18 |
| [BOJ] 1439 뒤집기 (0) | 2020.10.17 |
| [BOJ] 1744 수 묶기 (0) | 2020.10.17 |